Can Professors See Canvas Activity

Can Professors See Canvas Activity - Vellabox Weboct 10, 2017 · professors can see data about their students, like how much they interact with the class page, the last time individual students logged into canvas and if they are. Webmay 6, 2024 · yes, professors have some ability to track student activity on canvas, but their control is limited.
AI Chatbots Cause a Stir in Education: Can Professors Detect Google
AI Chatbots Cause a Stir in Education: Can Professors Detect Google
Here is what you need to know: Webapr 12, 2024 · can professors monitor your canvas activity?

Related fall coloring pages


• canvas monitoring explained • learn what professors can and cannot track on canvas, including.

Table of Contents

Terms of Use: To share, please send a link to this page. Please do not sell them, email them, share copies online, or distribute them in any way for any other purpose. Thanks!

AI Chatbots Cause a Stir in Education: Can Professors Detect Google

AI Chatbots Cause a Stir in Education: Can Professors Detect Google
AI Chatbots Cause a Stir in Education: Can Professors Detect Google of Can Professors See Canvas Activity . Source: academichelp.net

Week 12 Discussion - How can you integrate science into other subject

Week 12 Discussion - How can you integrate science into other subject
Week 12 Discussion - How can you integrate science into other subject of Can Professors See Canvas Activity . Source: www.studocu.com

Can professors do this? : r/CSUS

Can professors do this? : r/CSUS
Can professors do this? : r/CSUS of Can Professors See Canvas Activity . Source: www.reddit.com

Week 2 Canvas Activity Reflection - Mara Ono Professor Dunn EDEL 443 27

Week 2 Canvas Activity Reflection - Mara Ono Professor Dunn EDEL 443 27
Week 2 Canvas Activity Reflection - Mara Ono Professor Dunn EDEL 443 27 of Can Professors See Canvas Activity . Source: www.studocu.com

Activity 6 - 100 - Research online for an article from an online

Activity 6 - 100 - Research online for an article from an online
Activity 6 - 100 - Research online for an article from an online of Can Professors See Canvas Activity . Source: www.studocu.com

Academic Writing Survival Guide: What the Purists Won't Say, but

Academic Writing Survival Guide: What the Purists Won't Say, but
Academic Writing Survival Guide: What the Purists Won't Say, but of Can Professors See Canvas Activity . Source: www.goodreads.com

When You Believe Beyond What Your Eyes Can See Canvas 8X10 Black Poster

When You Believe Beyond What Your Eyes Can See Canvas 8X10 Black Poster
When You Believe Beyond What Your Eyes Can See Canvas 8X10 Black Poster of Can Professors See Canvas Activity . Source: familyloves.com

Marvel Spider-Man Christmas Canvas Activity Set, Includes Paint

Marvel Spider-Man Christmas Canvas Activity Set, Includes Paint
Marvel Spider-Man Christmas Canvas Activity Set, Includes Paint of Can Professors See Canvas Activity . Source: www.walmart.com

At NYU, Students Were Failing Organic Chemistry. Whose Fault Was It

At NYU, Students Were Failing Organic Chemistry. Whose Fault Was It
At NYU, Students Were Failing Organic Chemistry. Whose Fault Was It of Can Professors See Canvas Activity . Source: www.nytimes.com

Women's Casual Slip On Canvas Shoes | noracora

Women's Casual Slip On Canvas Shoes | noracora
Women's Casual Slip On Canvas Shoes | noracora of Can Professors See Canvas Activity . Source: noracora.com

Integrating Literacy in Science Lessons - Studocu

Integrating Literacy in Science Lessons - Studocu
Integrating Literacy in Science Lessons - Studocu of Can Professors See Canvas Activity . Source: www.studocu.com

Fevicreate Art & Craft Kit | with Transparent Backpack | Value Pack

Fevicreate Art & Craft Kit | with Transparent Backpack | Value Pack
Fevicreate Art & Craft Kit | with Transparent Backpack | Value Pack of Can Professors See Canvas Activity . Source: kefamart.in

Women's Casual Slip On Canvas Shoes | noracora

Women's Casual Slip On Canvas Shoes | noracora
Women's Casual Slip On Canvas Shoes | noracora of Can Professors See Canvas Activity . Source: noracora.com

Salma Tuqan Appointed Director of Nottingham Contemporary – Canvas

Salma Tuqan Appointed Director of Nottingham Contemporary – Canvas
Salma Tuqan Appointed Director of Nottingham Contemporary – Canvas of Can Professors See Canvas Activity . Source: canvasonline.com

Sea Turtle Wall Art Jesus Walking on The Beach Canvas Motivational I

Sea Turtle Wall Art Jesus Walking on The Beach Canvas Motivational I
Sea Turtle Wall Art Jesus Walking on The Beach Canvas Motivational I of Can Professors See Canvas Activity . Source: www.walmart.com

Answers - A task given by one of my professors or should i say an

Answers - A task given by one of my professors or should i say an
Answers - A task given by one of my professors or should i say an of Can Professors See Canvas Activity . Source: www.studocu.com

Can professors tell if you leave a page while taking a quiz on Canvas

Can professors tell if you leave a page while taking a quiz on Canvas
Can professors tell if you leave a page while taking a quiz on Canvas of Can Professors See Canvas Activity . Source: www.reddit.com

Der Dialog | Raum

Der Dialog | Raum
Der Dialog | Raum of Can Professors See Canvas Activity . Source: www.pinterest.com

Women Minimalist Casual Lace-Up Canvas Shoes | justfashionnow

Women Minimalist Casual Lace-Up Canvas Shoes | justfashionnow
Women Minimalist Casual Lace-Up Canvas Shoes | justfashionnow of Can Professors See Canvas Activity . Source: www.justfashionnow.com

Women Minimalist Casual Lace-Up Canvas Shoes | justfashionnow

Women Minimalist Casual Lace-Up Canvas Shoes | justfashionnow
Women Minimalist Casual Lace-Up Canvas Shoes | justfashionnow of Can Professors See Canvas Activity . Source: www.justfashionnow.com

Expectations from High School teachers and College Professors. - Many

Expectations from High School teachers and College Professors. - Many
Expectations from High School teachers and College Professors. - Many of Can Professors See Canvas Activity . Source: www.studocu.com

How It Feels When Software Watches You Take Tests - The New York Times

How It Feels When Software Watches You Take Tests - The New York Times
How It Feels When Software Watches You Take Tests - The New York Times of Can Professors See Canvas Activity . Source: www.nytimes.com

As Far As The Eye Can See Canvas Print Wall Art

As Far As The Eye Can See Canvas Print Wall Art
As Far As The Eye Can See Canvas Print Wall Art of Can Professors See Canvas Activity . Source: www.therange.co.uk

I Know What to Do Moods/Emotions Canvas Activity Set- Social-Emotional

I Know What to Do Moods/Emotions Canvas Activity Set- Social-Emotional
I Know What to Do Moods/Emotions Canvas Activity Set- Social-Emotional of Can Professors See Canvas Activity . Source: www.walmart.com

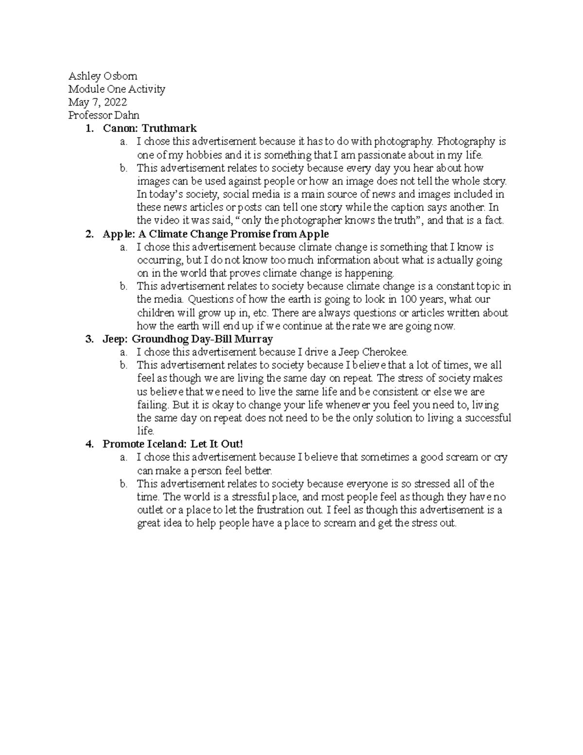
Module One Activity - This is just an example on what professors are

Module One Activity - This is just an example on what professors are
Module One Activity - This is just an example on what professors are of Can Professors See Canvas Activity . Source: www.studocu.com

Women's Casual Slip On Canvas Shoes | noracora

Women's Casual Slip On Canvas Shoes | noracora
Women's Casual Slip On Canvas Shoes | noracora of Can Professors See Canvas Activity . Source: noracora.com

#18 fetal Hb Andean Geese - Bio 1500 Due date: see Canvas assignment

#18 fetal Hb Andean Geese - Bio 1500 Due date: see Canvas assignment
#18 fetal Hb Andean Geese - Bio 1500 Due date: see Canvas assignment of Can Professors See Canvas Activity . Source: www.studocu.com

Act1ingles 3 - actividad 1 ingles - Nombre: Gabriela Romero Caudillo

Act1ingles 3 - actividad 1 ingles - Nombre: Gabriela Romero Caudillo
Act1ingles 3 - actividad 1 ingles - Nombre: Gabriela Romero Caudillo of Can Professors See Canvas Activity . Source: www.studocu.com

Paint, Paint Your Own Canvas, Party Favors, Paint Canvas, Kids Paint

Paint, Paint Your Own Canvas, Party Favors, Paint Canvas, Kids Paint
Paint, Paint Your Own Canvas, Party Favors, Paint Canvas, Kids Paint of Can Professors See Canvas Activity . Source: www.pinterest.com

Rate My Professors - Review Teachers and Professors, School Reviews

Rate My Professors - Review Teachers and Professors, School Reviews
Rate My Professors - Review Teachers and Professors, School Reviews of Can Professors See Canvas Activity . Source: www.pinterest.com

Related Of Can Professors See Canvas Activity