Arrest Org Amherst County

Arrest Org Amherst County - Vellabox Webbrowse, search and view arrests records. Largest open database of current and former county jail inmates. Weblargest database of amherst county mugshots. Find latests mugshots and bookings from amherst and other local cities. Click the search button to prompt arrests. org to scan its extensive database for arrest records matching the provided information. Webamherst jail is a secure detention facility located in amherst county, virginia, united states.
Amherst, state police arrest 4th man in connection with October home
Amherst, state police arrest 4th man in connection with October home
Managed by the amherst county sheriff's office, this correction facility serves. Webdiscover mugshots in amherst county: Begin your search by clicking the search button to prompt arrests. org to scan its extensive database for mugshots matching the provided. Search now for comprehensive arrest records in amherst county. Webbookings, arrests and mugshots in amherst county, virginia. To search and filter the mugshots for amherst county, virginia simply click on the at the top of the.

Related fall coloring pages


How to search arrest records in amherst county, va when it comes to searching for arrest records in amherst county, one of. Webthe amherst county sheriff's office, va, provides an online tool to search for active arrest warrants. This tool allows you to search by name or case number. How to find a. Webamherst county jail, a correctional facility in amherst county, virginia, houses individuals arrested within the county and awaiting trial or serving short sentences.

Table of Contents

Terms of Use: To share, please send a link to this page. Please do not sell them, email them, share copies online, or distribute them in any way for any other purpose. Thanks!

Amherst, state police arrest 4th man in connection with October home

Amherst, state police arrest 4th man in connection with October home
Amherst, state police arrest 4th man in connection with October home of Arrest Org Amherst County . Source: www.masslive.com

Amherst police arrest Amherst man on heroin charges after investigation

Amherst police arrest Amherst man on heroin charges after investigation
Amherst police arrest Amherst man on heroin charges after investigation of Arrest Org Amherst County . Source: www.masslive.com

Homeless man arrested in Amherst will remain in jail on $5,000 bail

Homeless man arrested in Amherst will remain in jail on $5,000 bail
Homeless man arrested in Amherst will remain in jail on $5,000 bail of Arrest Org Amherst County . Source: www.masslive.com

Amherst police arrest 20-year-old Jamison Lapan of Turners Falls

Amherst police arrest 20-year-old Jamison Lapan of Turners Falls
Amherst police arrest 20-year-old Jamison Lapan of Turners Falls of Arrest Org Amherst County . Source: www.masslive.com

Amherst police arrest 21-year-old Lawrence resident Jamie Adames after

Amherst police arrest 21-year-old Lawrence resident Jamie Adames after
Amherst police arrest 21-year-old Lawrence resident Jamie Adames after of Arrest Org Amherst County . Source: www.masslive.com

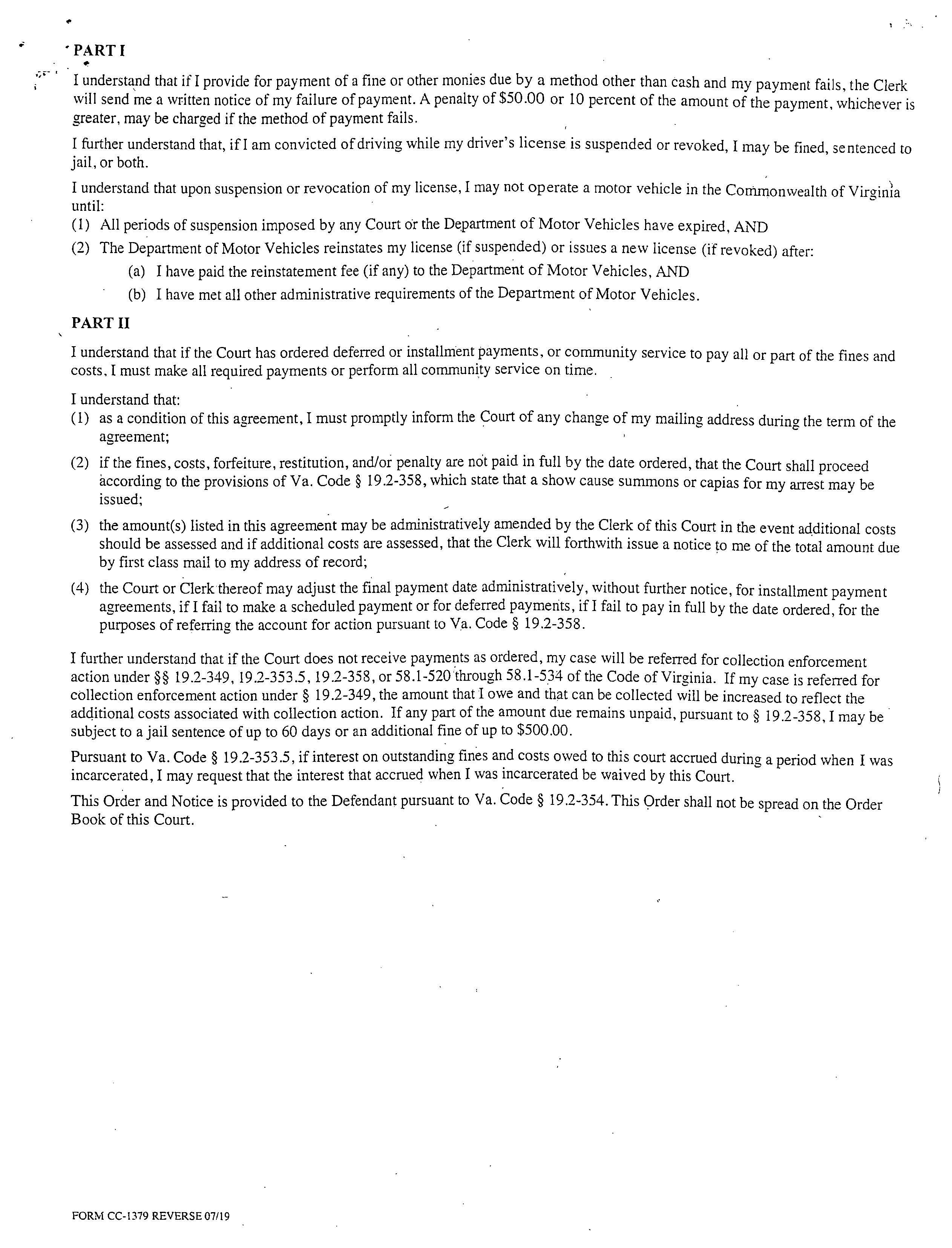
Court Costs Deferred Payments / Amherst County, Virginia

Court Costs Deferred Payments / Amherst County, Virginia
Court Costs Deferred Payments / Amherst County, Virginia of Arrest Org Amherst County . Source: www.countyofamherst.com

The Amherst County... - Amherst County Sheriff's Office | Facebook

The Amherst County... - Amherst County Sheriff's Office | Facebook
The Amherst County... - Amherst County Sheriff's Office | Facebook of Arrest Org Amherst County . Source: www.facebook.com

Amherst police arrest 2 at Amherst College for allegedly passing fake

Amherst police arrest 2 at Amherst College for allegedly passing fake
Amherst police arrest 2 at Amherst College for allegedly passing fake of Arrest Org Amherst County . Source: www.masslive.com

[AMHERST POLICE, NY] -- MEDIA RELEASE, Community Bicycle Patrol

[AMHERST POLICE, NY] -- MEDIA RELEASE, Community Bicycle Patrol
[AMHERST POLICE, NY] -- MEDIA RELEASE, Community Bicycle Patrol of Arrest Org Amherst County . Source: www.pinterest.jp

Amherst police arrest Jose Laboy of Springfield in connection with

Amherst police arrest Jose Laboy of Springfield in connection with
Amherst police arrest Jose Laboy of Springfield in connection with of Arrest Org Amherst County . Source: www.masslive.com

Virginia Cooperative Extension - Amherst County

Virginia Cooperative Extension - Amherst County
Virginia Cooperative Extension - Amherst County of Arrest Org Amherst County . Source: www.facebook.com

Amherst police arrest 2 at Amherst College for allegedly passing fake

Amherst police arrest 2 at Amherst College for allegedly passing fake
Amherst police arrest 2 at Amherst College for allegedly passing fake of Arrest Org Amherst County . Source: www.masslive.com

Election Districts / Amherst County, Virginia

Election Districts / Amherst County, Virginia
Election Districts / Amherst County, Virginia of Arrest Org Amherst County . Source: www.countyofamherst.com

Friends Of Amherst County | Madison Heights VA

Friends Of Amherst County | Madison Heights VA
Friends Of Amherst County | Madison Heights VA of Arrest Org Amherst County . Source: www.facebook.com

Gallery - Amherst County NAACP

Gallery - Amherst County NAACP
Gallery - Amherst County NAACP of Arrest Org Amherst County . Source: amherstvanaacp.org

Amherst County Musuem and Historical Society - Muse January 2009

Amherst County Musuem and Historical Society - Muse January 2009
Amherst County Musuem and Historical Society - Muse January 2009 of Arrest Org Amherst County . Source: www.amherstcountymuseum.org

Amherst County Musuem and Historical Society - Muse January 2009

Amherst County Musuem and Historical Society - Muse January 2009
Amherst County Musuem and Historical Society - Muse January 2009 of Arrest Org Amherst County . Source: www.amherstcountymuseum.org

Attached is the original... - Amherst County Public Schools

Attached is the original... - Amherst County Public Schools
Attached is the original... - Amherst County Public Schools of Arrest Org Amherst County . Source: www.facebook.com

Court Costs Deferred Payments / Amherst County, Virginia

Court Costs Deferred Payments / Amherst County, Virginia
Court Costs Deferred Payments / Amherst County, Virginia of Arrest Org Amherst County . Source: www.countyofamherst.com

State Police Make Drug Busts, DWI Arrests | Amherst, NH Patch

State Police Make Drug Busts, DWI Arrests | Amherst, NH Patch
State Police Make Drug Busts, DWI Arrests | Amherst, NH Patch of Arrest Org Amherst County . Source: patch.com

Amherst County

Amherst County
Amherst County of Arrest Org Amherst County . Source: www.facebook.com

Amherst County | Amherst County | Virginia Tech

Amherst County | Amherst County | Virginia Tech
Amherst County | Amherst County | Virginia Tech of Arrest Org Amherst County . Source: amherst.ext.vt.edu

Amherst police arrest Springfield man after fight that sent Amherst man

Amherst police arrest Springfield man after fight that sent Amherst man
Amherst police arrest Springfield man after fight that sent Amherst man of Arrest Org Amherst County . Source: www.masslive.com

Amherst County Musuem and Historical Society - Muse January 2009

Amherst County Musuem and Historical Society - Muse January 2009
Amherst County Musuem and Historical Society - Muse January 2009 of Arrest Org Amherst County . Source: www.amherstcountymuseum.org

Mississippi Arrests

Mississippi Arrests
Mississippi Arrests of Arrest Org Amherst County . Source: www.facebook.com

Amherst police arrest Leverett man who allegedly broke 2 police

Amherst police arrest Leverett man who allegedly broke 2 police
Amherst police arrest Leverett man who allegedly broke 2 police of Arrest Org Amherst County . Source: www.masslive.com

Amherst police arrest West Springfield man on numerous charges incuding

Amherst police arrest West Springfield man on numerous charges incuding
Amherst police arrest West Springfield man on numerous charges incuding of Arrest Org Amherst County . Source: www.masslive.com

Amherst County Musuem and Historical Society - Muse January 2009

Amherst County Musuem and Historical Society - Muse January 2009
Amherst County Musuem and Historical Society - Muse January 2009 of Arrest Org Amherst County . Source: www.amherstcountymuseum.org

Court Costs Deferred Payments / Amherst County, Virginia

Court Costs Deferred Payments / Amherst County, Virginia
Court Costs Deferred Payments / Amherst County, Virginia of Arrest Org Amherst County . Source: www.countyofamherst.com

Amherst, Amherst County, VA House for sale Property ID: 334695695

Amherst, Amherst County, VA House for sale Property ID: 334695695
Amherst, Amherst County, VA House for sale Property ID: 334695695 of Arrest Org Amherst County . Source: www.landwatch.com

Related Of Arrest Org Amherst County